“Science, Nature, and Research” are the core of our values

Utsukushhii

Safety:

  • Telah terakreditasi di Jepang dan di Indonesia. AFC Jepang menjamin produk bebas dari: Antibiotik, Pestisida, Logam berat, Kimia berbahaya, Hormon, dan bebas dari pencemaran Radiasi Nuklir (dokumen tersedia).
  • Sertifikasi HALAL
  • Memiliki izin edar dari BPOM ML 867031004482

Memiliki 3 Patent

ANTI-TUMOR AGENT-JP3040711B2
Bekerja didalam usus dengan mengkatifkan Interleukin-12 dan Interferon-gamma (IFN-Y) yang bila digabungkan dapat mengaktifkan NK-cell untuk melawan sel
kanker.

IMMUNE-ACTIVATING EFFECT-JP3272023B2
“Leukopenia Therapeutic Agent” mampu meningkatkan jumlah sel darah putih dalam darah untuk meningkatkan daya tahan tubuh. Serta meningkatkan daya tahan tubuh.

THERAPEUTIC AGENT ON HEPATITIS C-JP2712000
Mengandung zat terapi untuk hepatitis C, dengan bahan aktif yang dioleh dari bakteri asam laktat. Tidak memiliki efek samping dan toksisitas. Sehingga dapat digunakan untuk merehabilitasi awal pasien Hepatitis C.

Kandungan Baru Utsukushhii Gold "Black Garlic"

  • Menunjang kesehatan jantung
  • Bersifat antioksidan dan anti-peradangan
  • Mengurangi resiko kanker
  • Mencegah komplikasi diabetes
  • Meningkatkan fungsi otak
  • Baik untuk pengidap asam lambung

"Fantastic Duo" Dalam Utsukushhii

lactic Acid Bacteria

Merupakan bagian dari mikrobiota yang secara alami mendiami saluran pencernaan dan memiliki manfaat untuk mengelola intoleransi laktosa, serta membantu mencegah diare

Bifdobacterium Longum

Merupakan salah satu probiotik yang telah banyak diteliti dan terbukti efektif dalam memberikan efek positif untuk tubuh seperti menghambat sel asing berkembang dan mendukung fungsi imun tubuh

Pineapple Extract

Resveratrol

Kiwi Seed Extract

Kombu Fucoidan

Salmon Dna

Lactococus Lactis

Lactic Acid Bacteria

bifidobacteirum Longum

Black Garlic

Glutathione

Vitamin D

Fish Collagen

Mengandung Takara Kombu Fucoidan

Takara Combu Fucoidan Seaweed Extract

Ekstrak rumput laut Takara Combu sangat terkenal di negara Jepang, sebagai makanan wajib untuk untuk penderita kanker. Takara Combu Fucoidan hanya dapat ditemukan di Hokkaido Jepang.

Manfaat Takara Kombu Fucoidan

  • Membantu menurunkan kolesterol
  • Membantu sirkulasi oksigen ke seluruh tubuh
  • Meningkatkan sistem imunitas
  • Menjaga kesehatan tulang

Takara Kombu Fucoidan untuk kulit

Fucoidan diselidiki untuk menentukan manfaatnya dalam aplikasi topikal. Ekstrak Undaria pinnatifida, mengandung 85% fucoidan, dan ekstrak bersama Fucus Vesiculosus, yang mengandung 60% fucoidan dan 30% polifenol. Studi klinis double-blind, terkontrol plasebo juga dilakukan untuk mengukur kenyamanan, perlindungan, kedalaman kerutan, kecerahan dan intensitas bercak kulit.

Kedua ekstrak tersebut menunjukkan efek penghambatan yang nyata pada proses yang terkait dengan penuaan kulit. Seperti yang anda ketahui, fucoidan merupakan salah satu bahan aktif yang terkandung di dalam Utsukushhii.

Bersama Salmon DNA dan bahan lainnya, Utsukushhii memiliki manfaat yang baik untuk kesehatan kulit anda

Uji Klinis Kandungan Fucoidan

Takara Kombu Fucoidan memiliki fungsi untuk memperbaiki kedalaman kerutan yang akan berdampak pada keriput. (klik pada gambar untuk memperbesar)

Hasil uji klinis untuk perbaikan kerutan yang berakhir pada keriput

Para peneliti spesialis kecantikan melakukan pengujian terhadap kandungan yang ada di dalam Takara Kombu Fucoidan untuk mengatasi beberapa masalah pada kulit. (klik pada gambar untuk memperbesar)

Hasil uji klinis untuk perbaikan spot hitam

Ahli kecantikan melakukan penelitian pada presentase perbaikan pada kecerahan kulit. (klik pada gambar untuk memperbesar)

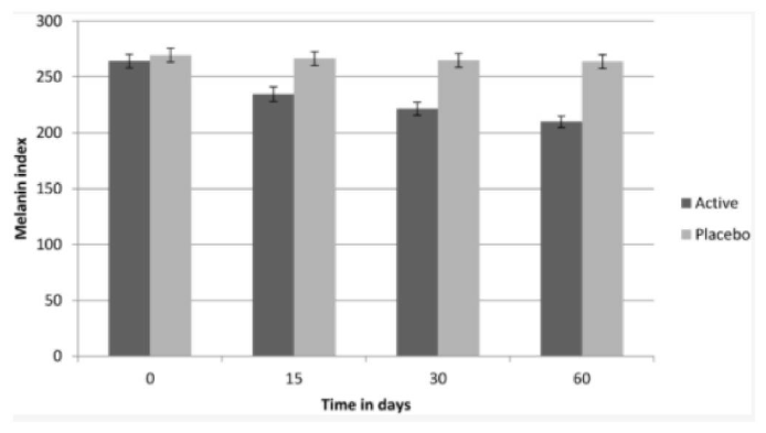
Hasil uji klinis untuk kecerahan kulit seiring berjalannya proses

Fucoidan juga memiliki fungsi antiviral untuk melawan virus

Selain mencegah pertumbuhan sel kanker, Fucoidan juga memiliki efek antivirus, pelindung saraf, dan modulasi kekebalan tubuh. Fucoidan memiliki berbagai aktivitas biologis seperti aktivitas melawan banyak virus RNA dan DNA buruk, termasuk patogen penting manusia. Fucoidan mendemonstrasikan aktivitas antivirus mereka terutama dengan memblokir interaksi virus ke sel untuk menghambat pembentukkan sel buruk yang diinduksi virus.

sumber https://www.hindawi.com/journals/bmri/2015/825203/

Takara Combu Fucoidan untuk Rambut Rontok

Penelitian menunjukkan bahwa fucoidan salah satu kandungan yang terdapat dalam Utsukushhii dapat merangsang efek faktor pertumbuhan hepatosit-protein yang biasa dikenal sebagai ‘faktor pencar’ – yang terhubung ke siklus rambut.

Karakteristik struktural dari fucoidan ditemukan mirip dengan heparin, yang juga dikenal sebagai stimulator ‘faktor pencar’ dan pemain kunci dalam regenerasi jaringan. Untuk itu Utsukushhii yang memiliki fucoidan sebagai bahan aktifnya dikenal dapat menjaga kesehatan dan membantu perawatan terhadap folikel rambut, sehingga menurunkan resiko rambut rontok yang diakibatkan beberapa faktor.

Takara Kombu Fucoidan Mengurangi Tingkat Racun Kemoterapi pada Pasien Kanker

Hasil penelitian menunjukkan bahwa fucoidan membantu mengatur terjadinya kelelahan selama kemoterapi. Kemoterapi dengan fucoidan dapat dilanjutkan untuk jangka waktu yang lebih lama daripada kemoterapi tanpa fucoidan, sehingga pasien kanker yang menggunakan fucoidan memiliki rate untuk selamat lebih besar dibandingkan dengan pasien yang tidak menggunakan fucoidan. Takara Kombu Fucoidan adalah salah satu kandungan bahan aktif yang ada di Utsukushhii. Untuk itu, Utsukushhii sangat baik bagi penderita kanker yang sedang menjalankan proses terapi kemo.

Fucoidan untuk Gastritis

Lambung secara alamiah memiliki mekanisme pertahanan atau faktor defensif yang berupa epitel permukaan ataupun mukus mukosa. Mekanisme pertahanan ini menjaga dinding lambung dari peradangan akibat konsumsi makanan atau minuman, ataupun infeksi bakteri. Mekanisme inilah yang disebut sebagai faktor defensif, sementara hal-hal yang menyebabkan kerusakan pada lambung disebut sebagai faktor agresif.

Fucoidan yang terdapat pada brown algae memiliki fungsi untuk memperkuat faktor defensif lambung dan telah terbukti sangat efektif. Dibandingkan dengan plasebo, fucoidan lebih baik dalam meningkatkan ketebalan mukus di lambung bagian atas sebanyak 32 persen dan 29 persen pada lambung bagian bawah.

Fucoidan adalah salah satu kandungan di dalam Utsukushhii yang memiliki fungsi dalam menjaga pencernaan anda tetap sehat dan dianugerahi paten yang salah satunya adalah memperkuat sistem imunitas tubuh anda.

Japanese Secret Beauty

Utsukushhii adalah salah satu produk dari AFC Lifescience yang menggunakan Salmon DNA sebagai salah satu bahan aktifnya. Orang Jepang percaya, selain kesehatan organ dalam tubuh seperti jantung, usus kita adalah organ yang bekerja sangat keras setiap harinya. Tanpa kita sadari, beberapa jenis gangguan kesehatan dapat muncul akibat usus yang bermasalah dan tidak dijaga kesehatannya.

Salmon DNA Utsukushhii

Salmon DNA adalah protein “Salmon Milt” yang dihasilkan Hokkaido Oncorhynchus
Keta Salmon jantan, yang berfungsi sebagai nutrisi kulit. Para ilmuwan Jepang telah menemukan keajaiban yang terkandung dalam Salmon DNA 10X lebih baik dari collagen biasa. Yang mana saat ini, Salmon DNA menjadi rahasia kecantikan selebriti top dunia.

USUS

  • Memperlancar pencernaan
  • Mencegah kanker usus
  • Menstabilkan berat badan
  • Detox awal proses diet

HATI

  • Membuang racun/toxin dari dalam hati
  • Mencegah dan memperbaiki hepatitis

KULIT

  • Meremajakan & melembabkan kulit
  • Mencerahkan kulit
  • Mengencangkan kulit
  • Memperbaiki struktur kulit
  • Memudarkan bintik-bintik hitam/pigmentasi
  • Mengurangi produksi sebum
  • Mengecilkan pori-pori
  • Mengurangi hitam pada kantung mata

10 Testimonial Utsukushhii

  • Kolesterol
  • Jerawat
  • Kulit lebih lembab
  • Detoksifikasi usus
  • Membantu penanganan alergi
  • Kulit lebih cerah
  • Hepatitis C
  • Kista & Miom
  • Kondisi abnormal usus
  • Pemulihan/pencegahan terkena virus

Tanda-tanda usus anda kotor:

  • Mudah Lelah, Sulit fokus
  • Buang air besar tidak teratur
  • Penuaan dini dan Iritasi kulit
  • Alergi Makanan
  • Sulit turun berat badan
  • Kondisi Kesehatan yang buruk
  • Infeksi Kulit

Kapan terakhir kali anda membersihkan usus anda?

Sebelum mengkonsumsi Utsukushhii

Sesudah mengkonsumsi Utsukushhii
selama 4 minggu

Setiap produk AFC dan terutama Utsukushhii memiliki sertifikat bebas anti-biotik, pestisida, logam berat, kimia berbahaya, hormon, dan bebas dari pencemaran nuklir (dokumen tersedia). Utsukushhii memiliki sertifikat HALAL dan terdaftar di BPOM RI
cekbpom.pom.go.id

KLIK untuk menyalin nomor BPOM

Klik gambar untuk memperbesar